Monday, 28 February 2022

Carmichael's Lies "Not Dishonest" LOL!

The Secretary of State for Levelling-Up, Michael Gove, is currently considering whether to put bent Labour Sandwell Council into "special measures". Local community activist Darryl Magher and I sent him over 100-pages of submissions in favour of an urgent intervention. As part of our comments we included information about the corrupt subversion of the Standards process. Here is another episode where there has been no appropriate investigation and a Councillor is yet again absolved from any misconduct. 

It is to be hoped that Government Commissioners will soon be appointed and this bent Labour Council sorted out once and for all.

This is the standards complaint I submitted concerning the comments of the current Labour "leader", Kerrie Carmichael, at a full Council meeting (which you can still see on the video via the SMBC website). Please note the detail in my original complaint.

Carmichael is a rough, mouthy, person (and we have seen elsewhere in this blog how she was incapable of controlling herself at the election count). She was a Cabinet member at a time of shocking corruption and a rimmer of the appalling tyrant "Squealing" Eling but never called-out his grotesque behaviour. In the incestuous world of bent Sandwell Council her husband also works for the corrupt authority. She has been described by a Sandwell figure as "defensive, brainless and shockingly ignorant". Now, according to the below, she is also too lazy or thick to read her emails. She should fit in well in this crap, dysfunctional, Authority!

Mind you, she looked very nervous and continously "fingered" around her mouth at the recent Council meeting when Grant Thornton gave bent Labour a massive, and humiliating, dressing-down. Perhaps she does at least have the insight that her limitations will be cruelly exposed if the Commissioners do come in:


Standards Complaint - Cllr Kerrie Carmichael - MC/171221 - 17/12/21


Cllr Carmichael has breached the Nolan Principles of, at least, honesty, objectivity (as she has a clear bias against ex-Cllr Hussain and for former “Leader” ex-Cllr Eling), integrity, openness (in attempting to conceal a Review which discloses racism and serious wrongdoing at SMBC) and leadership (having lied to a full Council and the public at large within approximately 20 minutes of becoming SMBC’s political leader).


Allegation 1:


At the Labour Group Online meeting preceding the December full Council meeting she advised Labour Councillors that she would suppress publication of the Cox Review and an accompanying Opinion of Jenni Richards QC. This is a clear dereliction of her duties of objectivity, integrity and openness before she actually became “leader”. It is also a breach of honesty and integrity given that she claims not to know anything about the Cox Review and Opinion. (It may also be unlawful.)


Allegation 2:


The facts here speak for themselves. At the Full Council meeting on 7th December, 2021, within approximately 20 minutes of becoming “leader”, Cllr Carmichael  answered a question from Cllr Yvonne Davies. She said - direct quote - “I don’t know what the Cox Report is. I haven’t read it.”


This is, quite simply, an appalling lie to the full Council, the people of Sandwell and the public at large.


Cllr Carmichael was well aware of the Cox Review and so openly mocked Cllr Davies and the democratic process.


On the balance of probabilities, Cllr Carmichael knew of the Cox Review for some time before she lied at the meeting - probably several months. But, in particular, the Cox Review and QC’s Opinion were sent to her on 28th September, 2021 at 10.28pm:


“Date: Tue, Sep 28, 2021 at 10:28 PM

Subject: Fwd: URGENT RELEASE OF (MAHBOOB HUSSAIN) SANDWELL COUNCIL DOCUMENTS - WRAGGE REVIEW, COX,RICHARDS

To: <rajbir_singh@sandwell.gov.uk>, <ahmad_bostan@sandwell.gov.uk>, <kerrie_carmichael@sandwell.gov.uk>, <Maria_Crompton@sandwell.gov.uk>, (and other Cabinet members).


I am informed that further copies were sent to her on:


29th September, 2021;

1st October, 2021;

8th October, 2021;

23rd October, 2021;

6th November, 2021;

17th November, 2021;

20th November, 2021; and

30th November, 2021.


I am informed that none of these emails were “returned” and so she did receive them.


Further, on 30th November, 2021 at 3.39pm, I wrote to her myself given the allegation of what she said at the Labour Group meeting:


“Dear Cllr Carmichael,

 

THIS IS NOT A PRIVATE AND CONFIDENTIAL COMMUNICATION - PRESS ENQUIRY

 

I have just been copied into an email to all Councillors concerning the Cox Review. I have also been informed, rightly or wrongly, that you told the Labour Group last night that the Cox Review will never be published.

 

Do you agree that you made those comments?

 

If yes, is this matter not still within the remit of the Audit Committee? What is your legal power to intervene at this stage?

 

And why do you personally wish to prevent the public from seeing a Review which shows bias, incompetence and racism?

 

If you did not say that you will suppress the Review what in the current process and it's timescale for its release?”

 

I did not receive the courtesy of a reply.

 

Following her brazen lie at the full Council meeting I wrote to Cllr Davies again with a copy to Cllr Carmichael (14.12.21 at 3.50pm) giving Cllr Carmichael the opportunity to explain her misconduct:

 

Email to Cllr Davies copied to Cllr Carmichael:

 

“THIS IS NOT A PRIVATE AND CONFIDENTIAL COMMUNICATION - PRESS ENQUIRY

 

“Like you, I was stunned by the comments of Cllr Carmichael at the full Council meeting last week in respect of the Cox Review/Report.

 

“You may be aware of a recent post on The Skidder where it was put to Cllr Carmichael via email dated 30th November, 2021 that she was purported to have told the Labour Group meeting that the Cox Review would never see the light of day. If that is true, then her comments at full Council raise very serious issues as she specifically stated, "I don't know what the Cox Report is. I haven't read it."

 

“It strains everyone's credulity to suggest that she has not heard of it and even if she did not make the comments attributed to her at Labour Group, is she now also saying that she did not read my email of 30th November sent to her (and then placed in the public domain)? Some sort of explanation is required here, and I am copying her to this email to, once again, give her the chance to explain herself.

 

“Another matter arises. Cllr Carmichael stated that Surjit Tour would be asked to provide you with a briefing paper on this. Leaving aside my view - which I have expressed to you - that Surjit Tour should not still be in the employ of SMBC, my understanding is that Tour was directly involved in the commissioning of the Cox Review and also in respect of briefing Jenni Richards QC. Surely there is a clear conflict of interest in one of the same people involved in trying to shine a light on this scandal being involved in suppressing its release?

 

“You were right in describing the comments of Cllr Carmichael concerning "personal data" as the reason for suppression of the Review, as "ridiculous". This was an issue raised in ex-Cllr Mahboob Hussain's objections to the publication of the Wragge Report and was given very short shrift by SMBC's QC, James Goudie (employed at colossal expense to the taxpayer). It would seem that this is another document that Cllr Carmichael hasn't read. Further, it is clearly a matter of intense public interest if Tour is saying that the Opinion of James Goudie - which is proudly displayed on the SMBC website - was wrong.

 

“If you have received Tour's briefing paper can you please send me a copy (and I am sure Cllr Carmichael can have no objection to that).”

 

Once again, Cllr Carmichael has chosen not to respond.

 

Julian Saunders

17th December, 2021


Standards Complaint re Cllr Kerrie Carmichael 

Sheet B 


In Sheet A I set out a standards complaint against Cllr Kerrie Carmichael in respect of her lies to a full Council meeting concerning the Cox Review. 


It has now come to my attention that she lied again in the very same meeting and so make this additional complaint which I assume will be dealt with together with the original one. Once again the facts show clear - further - breaches of the duties of honesty and integrity. 


Complaint 2 


At the full Council meeting of 7th December, 2021, Cllr David Fisher asked a written question (of which Cllr Carmichael had notice) concerning SMBC’s unlawful payment of an employee, Lisa McNally’s, legal costs. 


Cllr Carmichael stated that she was unable to comment as the matter was subject to an “independent review”. 


I have had correspondence with SMBC’s Interim Chief Executive, Kim Bromley-Derry and he has confirmed that there is no “independent review”. In fact there is a supposed review by Messrs Grant Thornton who are (a) not independent by reason of their relationship with SMBC; (b) non-lawyers and, most importantly, (c) were directly involved when McNally’s failed case was live and when they refused to stop the unlawful funding. 


In the premises, Cllr Carmichael’s response to an official written question was a second blatant lie to Councillors and to the public.


20/02/22 Julian Saunders 


SMBC legal team exonerate Carmichael


Surjit Tour, SMBC's highly controversial Head of Legal and its Monitoring Officer, handed this matter over to a Deputy Monitoring Officer, the equally controversial Maria Price.


Even though Price was supposed to be making finding based on the evidence she reported that:


"The subject member [Carmichael] was provided with a copy of the complaints. She does not accept that she has been dishonest … at the time of [the full Council meeting] she had not been provided with a copy of the Cox Report from the council and states that she has not read it."


As will be seen from the complaint itself set out above, multiple emails were sent to Carmichael enclosing the Cox Review. These were all sent to her official SMBC email address and none of them were apparently returned. Note the words that she was not provided with a copy "from the Council". Leaving aside the question of whether she made the comments that she did at a Labour group meeting, this is her "get-out" excuse - and a very feeble one it is.


Price quoted Carmichael as saying that she could not release"personal information" since this would leave SMBC "open to legal action". If she had never read the Cox Review, how could she know this?


Price stated that any comment made at the Labour Group Meeting about the Cox Review was not a matter for her as it was a purely party political matter. The problem with this is that Carmichael has not officially denied making these comments which are clear evidence, if found to be correct, that she was lying at the full Council Meeting on a later date.


The laughable Price decided that the statement that Carmichael had not read the Cox Review was not dishonest, and therefore not a breach of the Members Code of Conduct. In the circumstances she would not refer it for formal investigation.


In the most ludicrous section of Price's findings she states that the email referred to in the complaints was not provided to Carmichael from an official Council email. The email was, of course, sent from an anonymous leaker of the Cox Review (not me I should add!) Price states that there is no evidence that Carmichael read the email or any information reportedly attached to it. But equally there is no evidence that Price actually asked Carmichael whether she read the email or not - or indeed the other emails listed in the complaint, also sending the documentation to her. Price hasn't even made elementary enquiries before coming to a decision which is unappealable and to which the Independent Member agreed.


With regard to the second part of the complaint, Price says that Carmichael's "inaccurate"comments that the McNally costs indemnity was being looked at by an "independent review team" was not dishonest. This is even though Grant Thornton were involved in the question of the indemnity at the time the McNally case was live and refused to take any action. Appropriate action by them could have saved taxpayers a considerable amount of money and so Grant Thornton are neither independent not in a position to "review" a matter in which they were directly involved themselves. Furthermore Grant Thornton are not lawyers and so it is a mystery why Carmichael thinks they should be reviewing the question of a legal indemnity.


Incidentally, Price herself was directly involved, with Tour and two other SMBC solicitors, in the McNally litigation and fully supported the unlawful use of taxpayers' money to provide the so-called indemnity. Quite why she was involved in this aspect of the matter when there is a clear conflict of interest is not explained.



THE SANDWELL SKIDDER - COMMUNITY NEWS - READ THE SKIDDER, KIDDER!

**** Phone No: 07470 624207 ****

Email: thesandwellskidder@gmail.com

Facebook: Julian Saunders  

Facebook Group: The Sandwell Skidder - Speaking Truth To Power!

Twitter: Publisher: @CrowMultimedia; Julian Saunders: @SandwellSkidder            

Post:  Jules Saunders, 11 Chelworth Road, Birmingham B38 0BG

PROUD TO HAVE BEEN TROLLED BY DICKHEAD DARREN COOPER DECEASED!

LEGAL NOTICE (Version 3 from 14th February, 2021)

I cannot list every previous mention of individuals referred to in the entirety of this blog. Where I refer to a specific story please follow the supplied hyperlink since this forms legal justification for later comments. Similarly references to “posts passim” and to earlier posts mean any individuals concerned about purported defamatory or otherwise unlawful material must read later posts in the context of earlier posts. Full information can also be supplied within a reasonable time upon application via email to thesandwellskidder@gmail.com

In most cases we try to give the subjects of these blog posts the opportunity to comment on our journalism pre-publication to ensure the accuracy of our work.

Every now and again we make a genuine honest error and get something wrong. If an error in the blog affects you please email thesandwellskidder@gmail.com and we shall 
use our best endeavours to publish appropriate corrections forthwith.

We have had to remove the direct comment facility from this blog due to the activity of a West Bromwich woman but we are pleased to receive comments via email to thesandwellskidder@gmail.com , on Twitter via our publishers @CrowMultimedia or via our dedicated Facebook Group: “The Sandwell Skidder - Speaking Truth to Power!” We are happy to publish any sensible commentary and offer a right of reply where applicable.

Sunday, 27 February 2022

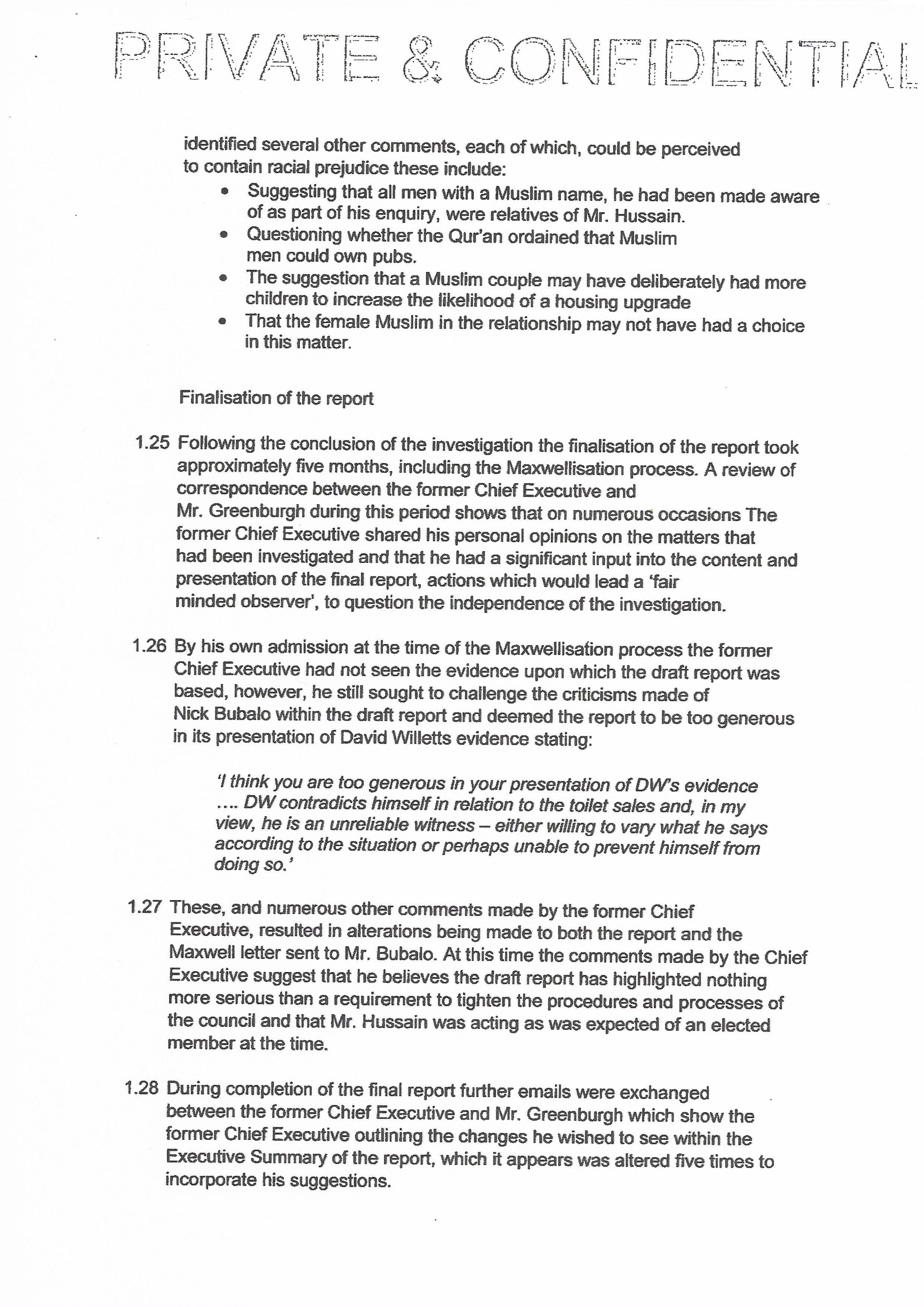
Here it is folks! The Cox Review revealed!

Exclusive - here is the explosive Cox Review (excluding the appendices) which bent Sandwell Labour have been desperately trying to stop you seeing despite it being widely leaked some months ago.

Neil Cox - a massive groveller to (now) sacked Chief Executive David Stevens - was "tasked" with investigating the rigging of the Wragge Report by Sandwell Labour and the sacked and disgraced Chief Executive, Jan Britton. Incredibly, Cox reported in June 2020 and bent Labour have been suppressing it ever since

There was an extremely long Audit Committee last year when at least two white Labour Councillors - Paul Moore and (then) Cllr Liam Preece - are said to have fought to continue the suppression of the Review, including the evidence of racism. Some Councillors including Ahmad Bostan, Zahir Hussain and Manjit Gill put on a show of seeking an apology for those affected by the alleged bias and racism, but they have been absolutely feeble and ineffectual in forcing disclosure.

Eventually, the Cox Review was leaked last October to various news outlets including The Skidder. As usual, the local mainstream media have shown little interest with the honourable exception of Rhi Storer, the Local Democracy Reporter now covering Sadders. 

The Skidder understands that the Cox Review was also leaked to many other interested parties in Sandwell including the local MP's. 

It should be remembered that the original Wragge Report was leaked by Labour despite ongoing High Court litigation! Of the two journalists who received the Report, Adrian Goldberg was (and is) a massive rimmer of Tom Watson (the former lazy MP for West Brom East) and the other was p*sshead weirdo, Adam Smith (Skidders passim) - the "King of the Rimmers", and a*se-licker-in-chief to, inter alia, Watson, Cllrs Hackett, Carmichael and Paul Moore, and the notorious masturbator, ex-Cllr John Tipper.

Curiously Eling and Jan Britton failed to order an investigation into the leak even though it appears to have been a very serious contempt of court. As will be seen below, the Wragge Report was also leaked to the Labour Party - an egregious data breach.

The Skidder now shows herewith the Cox Review (with minor redactions - mostly to protect the identity of an employee witness, and without the appendices). The sections relating to Willetts, Bubalo, Scarrott and Co are not redacted as they were exposed in the Wragge Report and other places. Britton has also featured extensively in this blog before his sacking. It has to be said, however, that the Review is disclosed because it is of very significant public interest but it is the handiwork of Neil Cox and his team and does not represent any investigations made by, or opinions of, this blog. 

The Skidder has been told by informed sources that Moore and Preece pleaded that a full "maxwellisation" process should take place with all interested parties. In other words - those who were criticised by Cox should have the full opportunity to respond to the accusations. This was seen at the time as a deliberate attempt to further delay any disclosure of the Review.

However, as a journalist I wrote to Jan Britton even though I personally witnessed him lying in a court witness box, SMBC itself reported him to the Police for colluding with others in presenting evidence in a criminal trial (no charges were brought by the employers of his son) and he was sacked for deliberately subverting the standards investigation into Hackett. His failures at Sandwell have been chronicled elesewhere in the blog and, as ever, the legal notice below applies. It has recently been shown that Britton used private methods of communication so that he could conceal his personal involvement in numerous matters. West Midlands Police are currently refusing to investigate this prima facie case of misconduct in public office but then they also refused years ago to interview him under caution regarding the revelations in this blog. In any event, the Skidder gave this scum the chance to comment but he has declined to do so.

I wrote to Mr Greenburgh and received an intially threatening reply. As previously disclosed, Greenburgh (still a solicitor) was disciplined for his "inbreeding" "joke" after deciding to drop an appeal against the slap on the wrist he was offered. Interestingly he told me that he had received no communications from bent Labour Sandwell Council at all in respect of the Cox Review - whether via a process of "maxwellisation" or otherwise. He claims not to have seen the Cox Review but he vehemently denies any allegations of bias and any allegations of racism apart from his disgusting "inbreeding" "quip". He is entitled to defend himself and I will be happy to print any comments he may wish to make now the main part of the Review is set out below.

I also wrote to Vivienne Reeve of Wragges (now Gowling WLG) on 10th January, 2022 but she has also failed to respond, for whatever reason:

Dear Ms Reeve,

THIS IS NOT A PRIVATE AND CONFIDENTIAL COMMUNICATION - PRESS ENQUIRY

You were the principal author of the appalling "Wragge Report" together with Mark Greenburgh. 

A Review into the inadequacies of the Report - The Cox Review - and an Opinion from Jenni Richards QC are being suppressed by Sandwell Labour Councillors but have now been widely leaked to politicians and the press, including myself.

I enclose the Review, Appendices and Opinion herewith. 

Given that these documents reflect on your own professional integrity, have you been contacted by SMBC for your comments on them?

Do you have any comments on the enclosed documents which you wish to make to me? In this regard you will note that Greenburgh's racist comment about alleged "inbreeding" in the Muslim Community was portrayed an isolated, one-off, "quip" (an appalling statement in itself) whereas it appears that it was nothing of the sort. Surely you must have been aware of Greenburgh's other racist comments at the time? Did you refer these other incidents to your employers?

(Incidentally your employers have profited from this racism but refuse to repay their huge fee.)

Another specific issue arises. I refer you to Paragraph 1.29 of the Review. I now hold contemporaneous documentary evidence that YOU personally were aware that Jan Britton was using unofficial channels of communication. Why did YOU permit this?

Perhaps your employers would consent to disclosure of each and every means Britton communicated with Gowling WLG at the material time?

Did YOU or, to your knowledge, Greenburgh, use unofficial methods of communication (i.e. not official Gowling WLG phones, emails, texts, messages etc) to communicate with Britton and/or SMBC? If yes, why? Please provide details

Unless you require a time extension for vaild reasons please reply by 5pm on Thursday, 13th January, 2022.

Last week there was another demo outside the offices of Gowling WLG since they still intend to keep the £181,000 they charged us taxpayers and to profit from (a) an inadequate job and (b) racism (these are just some of the demonstrators).

It is a matter of considerable public interest that the - already leaked - Cox Review is set out for the people of Sandwell to read if they so wish. The main reasons are:

  1. The Cox Review was commissioned to investigate longstanding concerns about the Wragge Report (also acquired at massive public expense) - both political and procedural. It is difficult to understand the rationale for Labour deliberately concealing the Cox Review (although the personal animosity of a number of Councillors towards the Hussain family may be the primary motivation). When Labour were themselves pleading with the High Court for the Wragge Report to be disclosed (before THEY leaked it) they claimed that publication would enable the public to see "the full picture". Publication "avoided any impression of concealment." The Report (as with the Cox Review) discloses serious prima facie cases to be answered they told the High Court. Disclosure may have a deterrent effect of those contemplating wrongdoing the corrupt bunch claimed. Any detriment to those affected by the diclosure was outweighed by the powerful public interest in openness, transparency and accountability (! in Sandwell lol!) This all applies equally to the Cox Review which should not have been concealed by the bent Authority.
  2. In the High Court Wragge Report case, Mr Justice Green said: "The conclusion [to diclose] is supported by the fact that there were already comments in the press and on social media suggesting the Council was seeking to suppress information about the investigation. Disclosure was necessary to dispel the impression and maintain public confidence." Of course, the position is worse here because the likes of Kerrie Carmichael are very deliberately trying to conceal disclosure despite media coverage of the leaked documents!
  3. Kerrie Carmichael, the joke new "Leader" of the bent Labour Council, is reported to have told a Labour Group meeting - when she was approved as the latest in a long line of duds as Captain of The Titanic - that she would ensure the Cox Review never saw the light of day. This is a political decision with no legal justification. (It is noteworthy that Carmichael has also presided over the decision to re-tender the SEND Contract where an internal review found no wrongdoing but some Labour Councillors wanted to see the contract stripped from ex-Cllr Hussain's son.) This has thrown the bent Council open to legal action and it is to be hoped for their sake that the personal animosity of some Labour Councillors is not examined in the High Court in due course! Of course, Carmichael was a pathetic acolyte and excuser of the appaling behaviour of Steve "Squealing" Eling (a disgraced former "Leader") whose malice against Hussain and former Cllr Ian Jones knew no bounds.
  4. We saw recently that Lisa McNally savaged Oliver Knight of the Internal Audit Team on video. Are we to read into the non-disclosure that Carmichael and her cronies disagree with Cox's findings and/or the competency of his Review? Is that her reason for non-disclosure and, if so, will Cox be facing disciplinary action?
  5. Various pro-Labour factions claim that the truth should never come out because the issues are "historic". Foolishly the likes of Grant Thornton, the supposedly "independent" external auditors, have seemed at times to also favour a cover-up of illegality and racism - and this is outside their legal remit. The exposure of racism should never be classed as unworthy of investigation because of the passage of time. And look at the original Wragge Report High Court decision. The case was held in 2016 and went back to issues arising in 1997. Mr Justice Green stated: "that allegations go back to 1997 is not determinative. What matters is that that the investigation is fair."
  6. Literally minutes after being formally accepted as Leader, Carmichael lied to the full Council saying she didn't know what the Cox Review was and that she hadn't read it (cf her reported comments to the Labour Group shortly beforehand). A standards complaint has ludicrously exonerated her (there's a blog coming on this) even though the lie is on the SMBC video of the meeting for all to see. If Labour is saying Boris must go for allegedly "lying to the House", then Carmichael must go for actually lying to the full Council (and the people of Sandwell).

Just as a corollary to the last point, I mentioned above that Cllr Ahmad Bostan was supposedly in favour of the racism element of the Cox Review (at least) being disclosed, but he is a deeply ambitious man and despite his constant ranting at Council meetings he is now in Carmichael's Cabinet and I wonder whether his much vaunted "principles" are now "on ice". Indeed as this picture shows, he sits in the "Chief Rimmer's Seat" behind the "Leader".

Some readers may not know that Bostan is blind but when I asked him about his failure to contradict Carmichael's blatant lie he appeared to also lose the powers of hearing and speech as shown in the following short video. [Cllr Bostan is aware of, and agrees to, being filmed by The Skidder at Council meetings and gave his express permission to me to put this question to him.]

https://www.youtube.com/shorts/i4TPPN2y8lk

The Cox Review:














Note re Para 3.2 - it transpired that the so-called "police investigation" was extremely limited in remit. It is not clear why Britton chose to order his own "audit" whilst the police investigation was ongoing.

Note re Para 3.7 - It is believed Greenburgh was personally known to Jan Britton and Neeraj Sharma prior to being instructed. West Midlands Police (WMP) have never interviewed Jan Britton under caution in respect of this or other matters:

Note the early involvement of Cllr Steve Eling. And you will see why it was necessary for Eling to pay Melanie Dudley a huge sum when he and Jan Britton sacked her.

Jan Britton - according to Neil Cox - flagrantly breaches Procurement and Payment rules:

We are introduced to Mark Greenburgh - the lead Wragge (now Gowling WLG) lawyer along with an assistant, Vivienne Reeve:

Dave Willetts is well-known to Sandwell Skidder readers for his role in the Boggate and other scandals. WMP declined to interview under cau



This refers to an employee witness hence the redaction. (Ironically this same person gave evidence against Cllr Simon Hackett in another matter:





Jan Britton told the High Court and the world at large that Greenburgh's appalling remark about "inbreeding" in the Muslim community was "an isolated quip" when, according to Cox this was not the case.



There is evidence, according to Cox, of Jan Britton communicating with Greenburgh and steering him towards the result desired by Britton and Eling. Indeed we are now able to show that Britton used private means to communicate with Greenburgh and Reeve including his own BT internet email account.

Here is another reason why Labour Councillors are desperate to keep this Review secret. The disclosure of the draft Wragge Report to the Labour Party was a gross data breach and another example of how the whole procedure was rigged by Eling and his cronies:




END

THE SANDWELL SKIDDER - COMMUNITY NEWS - READ THE SKIDDER, KIDDER!

**** Phone No: 07470 624207 ****

Email: thesandwellskidder@gmail.com

Facebook: Julian Saunders  

Facebook Group: The Sandwell Skidder - Speaking Truth To Power!

Twitter: Publisher: @CrowMultimedia; Julian Saunders: @SandwellSkidder            

Post:  Jules Saunders, 11 Chelworth Road, Birmingham B38 0BG

PROUD TO HAVE BEEN TROLLED BY DICKHEAD DARREN COOPER DECEASED!

LEGAL NOTICE (Version 3 from 14th February, 2021)

I cannot list every previous mention of individuals referred to in the entirety of this blog. Where I refer to a specific story please follow the supplied hyperlink since this forms legal justification for later comments. Similarly references to “posts passim” and to earlier posts mean any individuals concerned about purported defamatory or otherwise unlawful material must read later posts in the context of earlier posts. Full information can also be supplied within a reasonable time upon application via email to thesandwellskidder@gmail.com

In most cases we try to give the subjects of these blog posts the opportunity to comment on our journalism pre-publication to ensure the accuracy of our work.

Every now and again we make a genuine honest error and get something wrong. If an error in the blog affects you please email thesandwellskidder@gmail.com and we shall use our best endeavours to publish appropriate corrections forthwith.

We have had to remove the direct comment facility from this blog due to the activity of a West Bromwich woman but we are pleased to receive comments via email to thesandwellskidder@gmail.com , on Twitter via our publishers @CrowMultimedia or via our dedicated Facebook Group: “The Sandwell Skidder - Speaking Truth to Power!” We are happy to publish any sensible commentary and offer a right of reply where applicable.

If you consider that anything written is defamatory or otherwise unlawful please email thesandwellskidder@gmail.com or telephone 07470 624207 forthwith. If your complaint has merit we shall endeavour to make immediate amends.


Please ignore the following duplicate images:








Wednesday, 23 February 2022

Sandwell Protesters - Your Right to Write!

Deeply corrupt Labour Sandwell Council have had a special policy with regards to "big" planning applications - they make the decisions and local people can go and f*** themselves. Look at their bent dealings over Londonderry Fields, Brandhall Golf Course, Lion Farm Fields, Bescot etc. 

But the great unwashed of Sadders are getting wise to this and fighting back - and these struggles are likely to become increasingly bitter as bent Labour seek to destroy evermore of the shrinking green space left in the benighted Borough.

Certain Labour Councillors have made very odd utterances about their role in this grotesque destruction notably Cllr Bob "Seig Heil" Piper. These - and the recent preachy utterances of his new acolyte, Cllr Fenton - seem to be that if they listen to lobbying interests they may have to declare interests and be debarred from making decisions at the relevant time. [I say "seem" because it is difficult to form a coherent view of what they are actually saying and Cllr Fenton herself described her thoughts, as set out on Facebook, as being "jumbled".] But the principles set out below - whilst arising specifically in a planning case - should have general application across the board and are an important tool for brave protestors to use.

Now an old cynic like, well - like me, may wonder whether the blurb from Piper, Fenton et al is all very convenient for these "tribunes of the people". These "socialists" can distance themselves from public anger at the Labour rape of the diminishing greenery on the alleged basis that they must somehow remain "impartial" - a concept hitherto unknown in Sandwell Labour politics.

Yes, here's a picture of Piper and Fenton trying to destroy Sandwell Leisure Trust a year ago. Funnily enough the Cabinet (including, er, Piper) have recently decided to rip-up the multi-million pound SLT contract without any plan as to what to replace it with!

Whatever these jokers actually think, the position has been clear since the Court decision in a (second) case against Hackney Council brought by Holborn Studios Ltd which says that objectors should be able to write to Councillors - including those on the Planning Committee (if a planning case)  - to make their views known. And Councillors are permitted to read and consider the objections and choose whether that evidence should be studied further in discharging their responsibilities. It is not wrong but "democratic" (another word unknown to the Sandwell comrades) for councillors to consider what local residents actually want to say!

Full case report:

https://www.bailii.org/ew/cases/EWHC/Admin/2020/1509.html

I am indebted to Richard Harwood OBE QC of 39 Essex Chambers, London both for his article in "Local Government Lawyer" about the case and for very kindly writing to The Skidder with additional comments.

Mr Harwood stated [my emphasis in bold]:

"The judgment establishes ... the right of local councillors to receive correspondence from the public and to consider it when making decisions. Part of this is the right of the public to write. There is also a recognition that members can and will be lobbied, whether in writing, in meetings, at social events or chatting in the street. provided this is done openly, in particular that correspondence is copied to officers whether by the writer or the recipient, that is not simply legitimate, but an important part of the democratic process."

Of course, the Courts and Mr Harwood are assuming that local authorities usually act lawfully whereas that is not the position in Labour Sandwell. There is also an assumption, given that the literature refers to planning cases, that the process has begun. But we know in Sandwell that bent Labour have a habit of "tipping the wink" to would-be developers and then using taxpayer-funded SMBC staff to do extensive work on their behalf during "pre-application" processes. Look at the deals with Jeremy Knight-Adams concerning Lion Farm, or the three very senior Labour Councillors who told Network Rail there would be "no problem" with planning in respect of the dreadful Bescot concrete factory (only defeated after months of hard work by a dedicated band of objectors).

Deals like Lion Farm were deliberately concealed from the public by bent Labour for several YEARS and so objectors are usually faced with an "up yours" fait accompli by them, and given extremely limited time to raise objections (not to mention incomplete information).

But if you get wind of Labour plans on any subject - but certainly in respect of planning issues - feel free to write to your ward councillors, planning committee members and/or any other involved Councillors AND send a copy to the Council - address it to the Chief Executive if you do not have a better option.

Do remember that in the years of Labour corruption, cronyism and incompetence since this blog started in 2013 the comrades have conveniently "lost" many documents and letters, or simply ignored them. Always keep your own copy. If you are part of a campaign group also let the group organisers have a copy for a "central file". [Just by way of example, note the comrades even shafting one of their own - (then) Cllr Liam Preece - when he made a typically feeble attempt to object to the mammoth motorway advertising signs Squealing Eling and others planned for Ray Hall Lane.]

Also remember that a number of Councillors in Sandwell are too lazy or thick to read correspondence and/or deeply corrupt in any event. For some of them you might have to put your objections into cartoon form.

Piper's Finest Hour - another Sandwell Labour Disaster

We have seen in the Lisa McNally case that Head of Legal, Surjit Tour, unlawfully blew over £100,000 of taxpayers' money on financing her hopeless and purely personal case. Thanks to the direct corruption of Labour Cllr Simon Hackett, the costs of his data breach/breach of confidentiality are just under £100,000 for just one of the two Claimants. (It is forecast by an informed source that the entire costs and damages will eventually be around a quarter of a million pounds!) Tour and his colleagues have thrown SMBC wide open to litigation in respect of the SEND contract and, possibly, Lion Farm.  And so it goes on.

Now we finally have evidence of the lost costs of Piper's campaign against plans to stop the conversion of space above shops in Bearwood Road, Smethwick (in Piper's ward) into bedsits. And the facts reveal yet more ludicrous incompetence by the rotten Labour Council!

Far from "not wishing to prejudice the independence of decision-makers", Piper is said to have "campaigned" against the proposed development and 12 related planning applications even though he was (then) on, er, the Planning Committee! Whatever he did, he did not feel the need to declare an interest at the meeting that was recorded as such, or recuse himself from any part of the meeting. Indeed the minutes say that the matter was before the Committee "at the request of Cllr Piper". The minutes state "Members declared they had been lobbied" without identifying which members or the "lobbyists" - or whether Piper was, himself, one of the latter! And, of course, for political reasons, Piper has also very publicly voiced his prejudice against this type of development but still felt able to sit on the Planning Committee to adjudicate on just such applications.

The minutes state that: "Cllr Piper, ward member, was present and represented his constituents with the following [objections] ... " (He had also been present as a member of the Planning Committee at the meeting on 4th July, 2018 when the same applications were discussed.)

One of the objections, as put forward by wealthy Piper, was that the development would somehow "irretrievably damage" the area even though it is an absolute sh*thole after 47 years of Sandwell Labour dictatorship. Indeed the planning officers themselves noted that the area "had struggled in recent years".

The SMBC planning officers (i.e. professionals) recommended that planning permission be granted. Their conclusion was important since they said there was "no demonstrable evidence" to refuse the application. Indeed they thought it would improve the "vitality and viability" of this Labour grot spot.

But the comrades stuck together as usual and sided with Piper - all twelve applications were refused. The developer immediately appealed.

What happened next has surprised even me, a seasoned observer of Sandwell Labour's disastrous stewardship of the benighted Borough. Following a Freedom of Information Request I can now disclose that the Sandwell planners decided they would prefer not to use their own SMBC lawyers to answer the appeals but would "go it alone". Given how useless the Legal Department is (and ignoring allegations of corruption therein for present purposes - as these equally apply to elements within the Planning Department) this seems surprising and perhaps Piper might like to try and find out why this happened? 

The planners clearly thought that Piper's campaign was bullsh*t since they apparently filed almost no actual evidence against the appeals. The decision of the Planning Inspectorate is absolutely damning:

"Councillors were entitled not to accept the professional advice of officers in the merits of the proposals provided that a case could be made for the contrary view. Whilst I acknowledge that objections were received in relation to the applications and that it was proper that these were considered by Councillors when reaching their decisions, at appeal the Council is required to provide evidence to substantiate each reason for refusal.

"... I disagree with the Council that there were sufficient grounds to refuse planning permission for each of the proposals. The appeal evidence submitted by the Council justifying its decisions is extremely limited and lacks detail as to why Councillors reached a different conclusion to officers on the merits of the proposals. It is not sufficient to merely state that Councillors exercised their local knowledge in disagreeing with the recommendations or that there were concerns regarding the proposals ...

"... in failing to provide sufficient evidence to justify its decisions, [Sandwell Council] has behaved unreasonably and this behaviour has led to unnecessary expense during the appeal process. For this reason, and having regard to all matters raised, full awards of costs are justified."

So there you have it. Piper's campaign - even if not motivated by his political prejudice (?) - was spurious and no actual evidence could be found to support it. The Council tried to rely on the bullsh*t put forward by Piper and couldn't provide any evidence to back any of it up. Yet Piper still felt able to criticise the Planning Inspectorate for "not listening" to local residents even when no evidence was adduced by bent Sandwell Labour to listen to!

The result - bent Sandwell Labour cost us taxpayers another £30,500 plus VAT! We have been well and truly shafted once again.

Piper and Private Landlords

Despite his incessant anti-Zionist and anti-Israel ranting and social media abuse of various individuals, Keir "Sir Woodenarse" Starmer himself is said to be well aware that Piper has been inexplicably elevated to the bent Labour Council's Cabinet.

Of course, when Piper was Chair of the Licensing Committee, he attracted Police attention when he walked into a crowded pub, shouted "Seig Heil" and gave a Nazi salute. He did not see this as providing any cause to resign from his position!

At the full Council meeting last October (at 1.58.44 on the video) the ever-political Piper launched a diatribe against all private landlords and expressed the view that he hoped, as a Cabinet member, the Labour Council would stop what he perceives as abuses in "private sector housing". This is typical Piper disingenuousness again as Piper - an oft-professed Corbynist - doesn't believe there should be ANY private sector housing rental at all and that housing rentals should be run entirely by the State.

Of course, a number of Sandwell Labour Councillors have been or still are, er, private landlords and so he will no doubt "consult" with them about how to clean up the alleged abuses of "landlords". And perhaps he can get some tips from Labour Cllr Harnoor Bhullar (wife of former "leader" Rajbir "Moonlight Flit" Singh). Rajbir told the world she has been "seriously ill" but at least she was able to take to Piper's own propaganda group on Facebook to try and seek some extra income:

You see folks - these people tell you one thing but do another themselves. You can't trust Sandwell Labour!

THE SANDWELL SKIDDER - COMMUNITY NEWS - READ THE SKIDDER, KIDDER!

**** Phone No: 07470 624207 ****

Email: thesandwellskidder@gmail.com

Facebook: Julian Saunders  

Facebook Group: The Sandwell Skidder - Speaking Truth To Power!

Twitter: Publisher: @CrowMultimedia; Julian Saunders: @SandwellSkidder            

Post:  Jules Saunders, 11 Chelworth Road, Birmingham B38 0BG

PROUD TO HAVE BEEN TROLLED BY DICKHEAD DARREN COOPER DECEASED!

LEGAL NOTICE (Version 3 from 14th February, 2021)

I cannot list every previous mention of individuals referred to in the entirety of this blog. Where I refer to a specific story please follow the supplied hyperlink since this forms legal justification for later comments. Similarly references to “posts passim” and to earlier posts mean any individuals concerned about purported defamatory or otherwise unlawful material must read later posts in the context of earlier posts. Full information can also be supplied within a reasonable time upon application via email to thesandwellskidder@gmail.com

In most cases we try to give the subjects of these blog posts the opportunity to comment on our journalism pre-publication to ensure the accuracy of our work.

Every now and again we make a genuine honest error and get something wrong. If an error in the blog affects you please email thesandwellskidder@gmail.com and we shall use our best endeavours to publish appropriate corrections forthwith.

We have had to remove the direct comment facility from this blog due to the activity of a West Bromwich woman but we are pleased to receive comments via email to thesandwellskidder@gmail.com , on Twitter via our publishers @CrowMultimedia or via our dedicated Facebook Group: “The Sandwell Skidder - Speaking Truth to Power!” We are happy to publish any sensible commentary and offer a right of reply where applicable.

If you consider that anything written is defamatory or otherwise unlawful please email thesandwellskidder@gmail.com or telephone 07470 624207 forthwith. If your complaint has merit we shall endeavour to make immediate amends.


Sunday, 20 February 2022

Labour Greaser Spellar Likes A Flutter!

The Sh*thole Borough of Sandwell now has only one Labour MP. The people of Warley prefer a pathetic greaser from South London to a dynamic local person for some reason, and keep re-electing the useless John Spellar.

John "Air Miles" Spellar has enjoyed plenty of foreign jollies over the years - most notably to Egypt to open an outpost of a British public (i.e. private) school. How very "socialist"!

Of course, he relies on the votes of various local religious groupings and the pathetic Berghaus Bolshies of Bearwood (the ghastly snobs who spout left-wing claptrap but vote for an extreme right-winger like Spellar - a man who has done f*** all for his constituency, voted for the Iraq War and despises "lefties"). Here's a picture adorned with his own words:


Local readers will know that The Greaser was part of a grotesque "local" double act with former fat man, venal slob Tom Watson before he ran away (or waddled at least) from his West Brom constituency. This blog exclusively disclosed that Watson's "anti-gambling" campaigns were not as altruistic as they seemed as Twatson was receiving funding from a millionaire campaigner, Derek Webb. I also disclosed that although he had numerous chins, Watters also had two faces. Despite his rants against the bookies, he suddenly felt able to also receive goodies from Sky Bet whose boss, Richard Flint, then moved to Flutter (a large gambling group that runs Paddy Power, and many other betting "brands"). And lo, it came to pass that the Rutting Walrus of Love was suddenly employed as an "adviser" to, er, Flutter Entertainment!


Did Labour's Spellar feel he was missing out of the lolly? Who knows? But happily he now has his twitching snout in the trough too, kindly replenished by the "gambling industry". The Greaser has declared (no pun intended) a nice day at a Lords Test Match courtesy of the "Betting and Gaming Council". Hold on, I hear you say, aren't they something to do with the Government, a quango or similar? Alas not, they are a lobbying group proudly claiming to represent "90% of retail betting shops, online betting and gaming operators, casinos and bingo operators." Nice!

At least Spellar didn't have to travel too far from South London to Lords (what a shame his day ligging wasn't at the Oval, that would have been even closer to his home!) And it must have been quite a day since his ticket and "hospitality" last August was valued at just (!) £874.80. That's on top of his MP's salary of course, whereas many Sandwell folk live in very real poverty after 47 years of Labour corruption, cronyism and incompetence.

Nearly £900 for a day-out must have felt a bit downmarket for The Greaser though after his trip to Wembley Stadium last June. His ticket and hospitality for the England v Germany match was valued at, wait for it, a mere £1,961. Yes - nearly two grand for a trip to the footie for this greedy little man. And who supplied this largesse? Power Leisure Bookmakers Limited. Yes, you will see the connection. "Power" is a subsidiary of Flutter Entertainment!

Warley folk - if you continue to vote for Labour and this joker you are w*nkers! 


On a slightly related subject, Sandwell is awash with brand new slot machine arcades. The gruesome "lefties" of Bearwood may look down their noses at the rest of Sandwell folk but this is what Local Democracy Reporter, Rhi Storer (a breath of fresh air after the troll Makin), wrote just last September about the dump they live in:


Surely Spellar will soon be speaking out about the evils of gambling - perhaps from a champagne-fuelled beano at Royal Ascot lol?

Meanwhile, even the lefty "holy of holies" is moving out of the sh*t-smeared Labour "paradise"of Bearwood! Cllr Bob "Seig Heil" Piper is going to have to get his grub delivered by Waitrose (if he doesn't already). Mind you - you could get quite a lot of of slot machines in here:


THE SANDWELL SKIDDER - COMMUNITY NEWS - READ THE SKIDDER, KIDDER!

**** Phone No: 07470 624207 ****

Email: thesandwellskidder@gmail.com

Facebook: Julian Saunders  

Facebook Group: The Sandwell Skidder - Speaking Truth To Power!

Twitter: Publisher: @CrowMultimedia; Julian Saunders: @SandwellSkidder            

Post:  Jules Saunders, 11 Chelworth Road, Birmingham B38 0BG

PROUD TO HAVE BEEN TROLLED BY DICKHEAD DARREN COOPER DECEASED!

LEGAL NOTICE (Version 3 from 14th February, 2021)

I cannot list every previous mention of individuals referred to in the entirety of this blog. Where I refer to a specific story please follow the supplied hyperlink since this forms legal justification for later comments. Similarly references to “posts passim” and to earlier posts mean any individuals concerned about purported defamatory or otherwise unlawful material must read later posts in the context of earlier posts. Full information can also be supplied within a reasonable time upon application via email to thesandwellskidder@gmail.com

In most cases we try to give the subjects of these blog posts the opportunity to comment on our journalism pre-publication to ensure the accuracy of our work.

Every now and again we make a genuine honest error and get something wrong. If an error in the blog affects you please email thesandwellskidder@gmail.com and we shall 
use our best endeavours to publish appropriate corrections forthwith.

We have had to remove the direct comment facility from this blog due to the activity of a West Bromwich woman but we are pleased to receive comments via email to thesandwellskidder@gmail.com , on Twitter via our publishers @CrowMultimedia or via our dedicated Facebook Group: “The Sandwell Skidder - Speaking Truth to Power!” We are happy to publish any sensible commentary and offer a right of reply where applicable.

If you consider that anything written is defamatory or otherwise unlawful please email thesandwellskidder@gmail.com or telephone 07470 624207 forthwith. If your complaint has merit we shall endeavour to make immediate amends.